Open Access
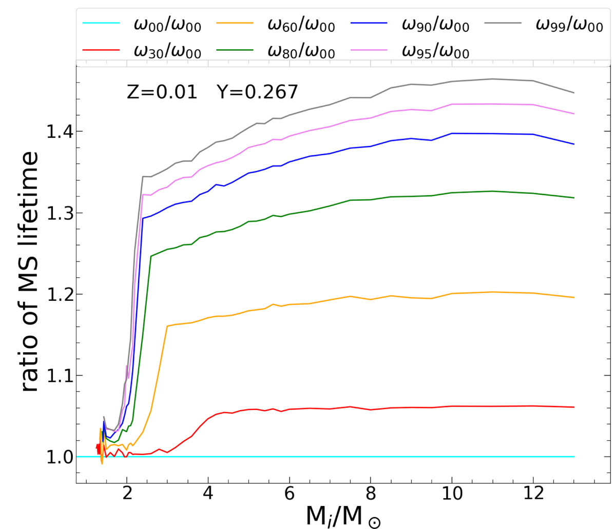
Fig. 3.

Download original image
Ratio between the MS lifetimes of rotating and non-rotating models of the same mass, as a function of initial mass in the set Z = 0.01, Y = 0.267. This lifetime is measured from the ZAMS until the exhaustion of the central H (Xc < 10−5). Different values of ωi, from 0 to 0.99, are considered, as indicated in the legend.
Current usage metrics show cumulative count of Article Views (full-text article views including HTML views, PDF and ePub downloads, according to the available data) and Abstracts Views on Vision4Press platform.
Data correspond to usage on the plateform after 2015. The current usage metrics is available 48-96 hours after online publication and is updated daily on week days.
Initial download of the metrics may take a while.