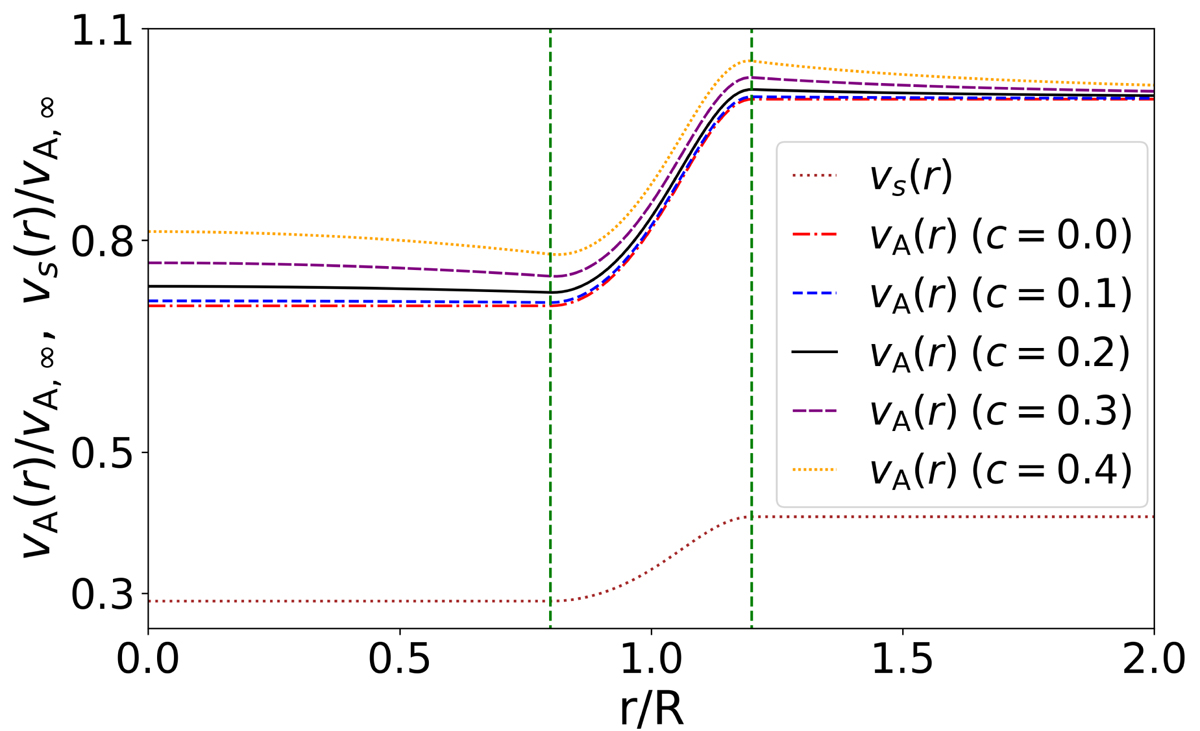
Fig. 2.

Download original image
Equilibrium radial profiles of the Alfvén speed, vA(r), and sound speed, vs(r), for the twist parameter ranging from c = 0 to c = 0.4. The sound speed is the same in all cases. The region between the vertical dashed lines denotes the inhomogeneous region in density. The values are normalized with respect to the Alfvén speed at r → ∞. We used ρi/ρe = 2 and l/R = 0.4.
Current usage metrics show cumulative count of Article Views (full-text article views including HTML views, PDF and ePub downloads, according to the available data) and Abstracts Views on Vision4Press platform.
Data correspond to usage on the plateform after 2015. The current usage metrics is available 48-96 hours after online publication and is updated daily on week days.
Initial download of the metrics may take a while.