Open Access

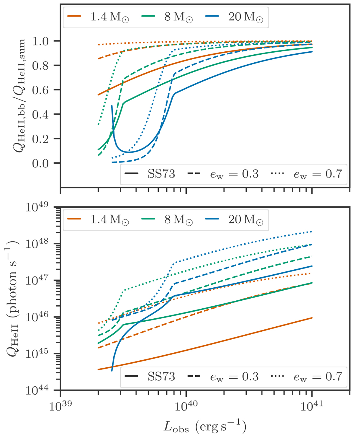
Fig. 2.

image

Download original image

He II ionization from ULXs with different CO masses (colors; see top legends) and spectrum models (line styles; see bottom legends), as a function of the face-on luminosity of the source. Top: fraction of the photons emerging from the blackbody (bb) component with respect to the total (sum of the blackbody and multicolor disk). Bottom: rate of He II-ionizing photons from the blackbody and disk component in the range 54.4−300 eV.

Current usage metrics show cumulative count of Article Views (full-text article views including HTML views, PDF and ePub downloads, according to the available data) and Abstracts Views on Vision4Press platform.

Data correspond to usage on the plateform after 2015. The current usage metrics is available 48-96 hours after online publication and is updated daily on week days.

Initial download of the metrics may take a while.