Open Access

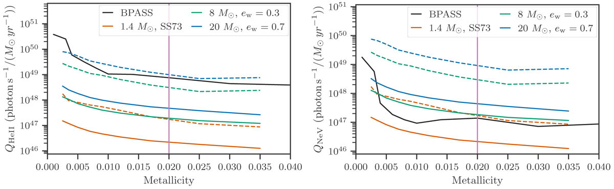
Fig. 3.

image

Download original image

Rate of He II (left) and Ne V (right) ionizing photons from ULX populations in galaxies as a function of the gas-phase metallicity (solar value indicated with vertical magenta lines). The black lines show the prediction from stellar populations using BPASS models. The colored solid lines depict the mean value from ULXs assuming three different combinations of CO masses and spectrum models (see legend), covering the full range of our (nine) estimates. The dashed lines show the upper 99% limit to give a sense of the scatter due to the stochastic nature of ULXs.

Current usage metrics show cumulative count of Article Views (full-text article views including HTML views, PDF and ePub downloads, according to the available data) and Abstracts Views on Vision4Press platform.

Data correspond to usage on the plateform after 2015. The current usage metrics is available 48-96 hours after online publication and is updated daily on week days.

Initial download of the metrics may take a while.