Open Access

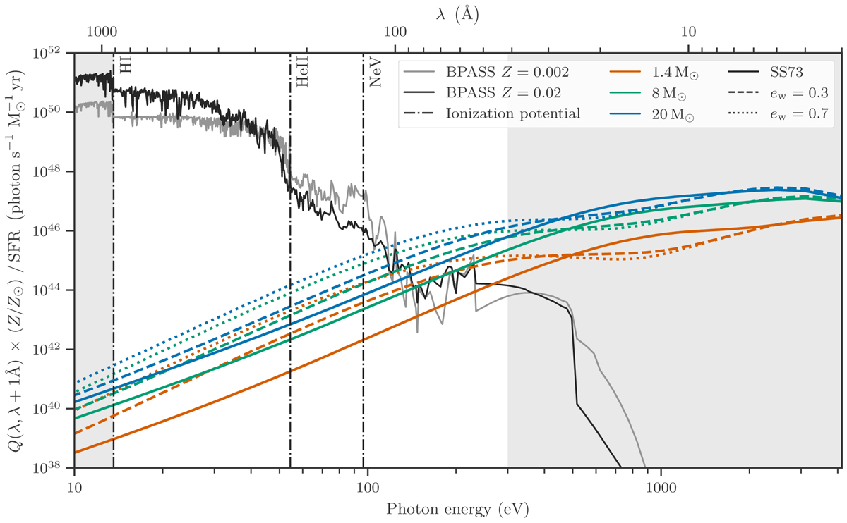
Fig. 4.

image

Download original image

Average intrinsic spectrum from ULX populations assuming different CO masses (color) and spectrum models (line style), as well as stellar populations from BPASS (black line for solar metallicity and gray for one-tenth of the solar metallicity). All spectra were normalized by the SFR and the metallicity (Z); since we assumed that the XLF scales with Z/Z, there is no variation in the ULX spectra, contrary to the stellar populations. The units in the y axis are the same as the provided data (see Table 1). The ionization potentials of H I, He II, and Ne V are indicated with vertical lines. The shaded areas denote the regions in the spectrum that we do not consider as ionizing when calculating QHI, QHeII, and QNeV (see Figs. 2 and 3).

Current usage metrics show cumulative count of Article Views (full-text article views including HTML views, PDF and ePub downloads, according to the available data) and Abstracts Views on Vision4Press platform.

Data correspond to usage on the plateform after 2015. The current usage metrics is available 48-96 hours after online publication and is updated daily on week days.

Initial download of the metrics may take a while.