Open Access
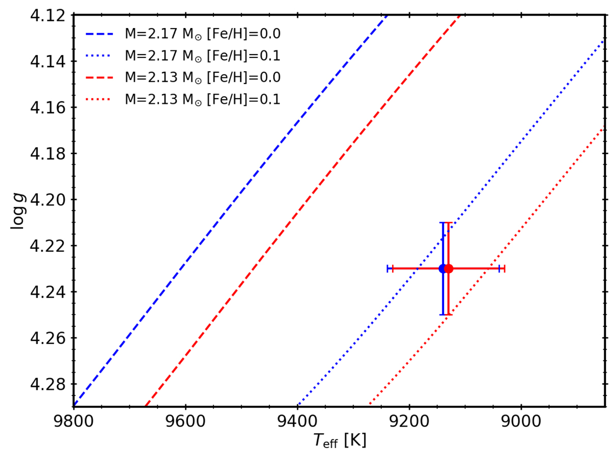
Fig. 11.

Download original image
Teff − log g relationship for the primary (blue) and secondary (red) components of V889 Aql, together with the theoretical models from Claret (2019) corresponding to the mass of each component and metallicities of 0.0 (dashed lines) and 0.1 (dotted lines).
Current usage metrics show cumulative count of Article Views (full-text article views including HTML views, PDF and ePub downloads, according to the available data) and Abstracts Views on Vision4Press platform.
Data correspond to usage on the plateform after 2015. The current usage metrics is available 48-96 hours after online publication and is updated daily on week days.
Initial download of the metrics may take a while.