Fig. 7.

Download original image
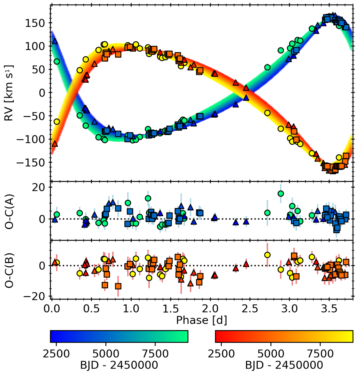
Best fit to the CAFE (circles), STELLA (triangles), and Tull (squares) RVs of V402 Lac, phase-folded to the anomalistic period, and with the argument of periastron precessing according to . Blue hues and red hues correspond to the primary and secondary components, respectively, while the colour code indicates the date of the measurements and fit. The bottom panels show the residuals from the best fit.
Current usage metrics show cumulative count of Article Views (full-text article views including HTML views, PDF and ePub downloads, according to the available data) and Abstracts Views on Vision4Press platform.
Data correspond to usage on the plateform after 2015. The current usage metrics is available 48-96 hours after online publication and is updated daily on week days.
Initial download of the metrics may take a while.