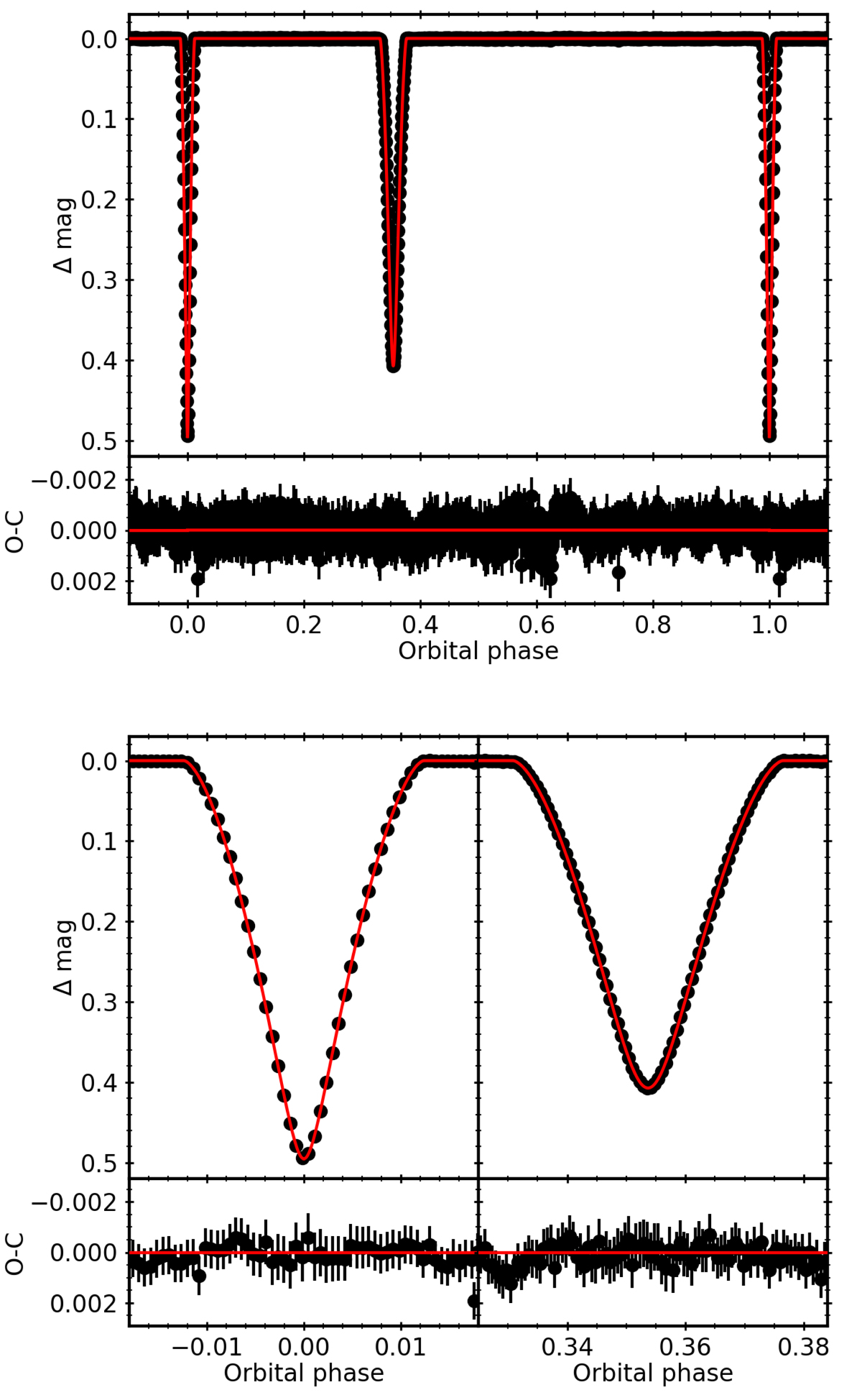
Fig. 9.

Download original image
TESS photometry of V889 Aql from the second orbit of Sector 40 (black dots) and its best fit computed with JKTEBOP (red). The top panel shows the photometry phase-folded to the sidereal period, while the bottom panel shows the details of the primary (left) and secondary (right) eclipses. The residuals of the fits are shown in the bottom part of all panels.
Current usage metrics show cumulative count of Article Views (full-text article views including HTML views, PDF and ePub downloads, according to the available data) and Abstracts Views on Vision4Press platform.
Data correspond to usage on the plateform after 2015. The current usage metrics is available 48-96 hours after online publication and is updated daily on week days.
Initial download of the metrics may take a while.