Fig. 2.

Download original image
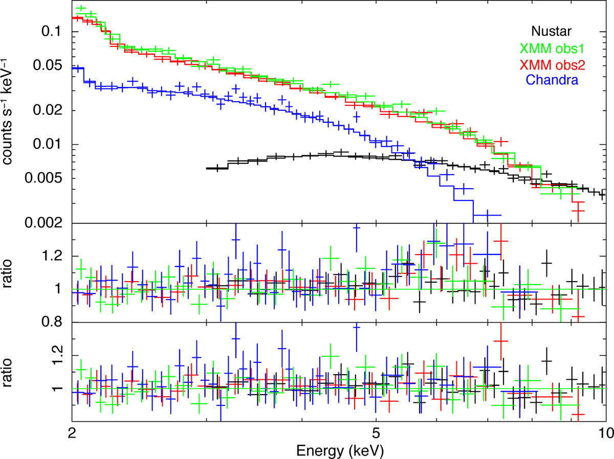
Two XMM-Newton/pn, Chandra stacked, and NuSTAR folded spectra in 2–10 keV with a simple power-law model, and the ratio of the data and model. Upper panel: model was fitted for the 2–5 and 8–10 keV band spectra and extrapolated to 2–10 keV. Middle panel: ratio of the data and model with the simple power-law model, and obvious excess in the 5–8 keV band of the two XMM-Newton/pn and Chandra observations. Bottom panel: ratio of the data and model with the simple power-law plus a Gaussion line model, which might be a relativistic broadening Fe K emission.
Current usage metrics show cumulative count of Article Views (full-text article views including HTML views, PDF and ePub downloads, according to the available data) and Abstracts Views on Vision4Press platform.
Data correspond to usage on the plateform after 2015. The current usage metrics is available 48-96 hours after online publication and is updated daily on week days.
Initial download of the metrics may take a while.