Fig. 4.

Download original image
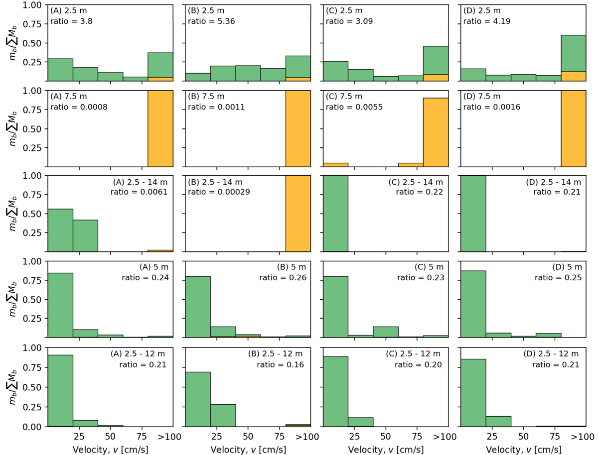
Histogram of the mass fraction of boulders ejected with speeds above the target escape velocity (v > vesc), for targets with different configurations of boulders. mb is the boulder mass in each bin, and ∑Mb is the total mass of ejected boulder material above v > vesc. The velocity data are discretised into 20 cm s−1 bins. The total mass of boulder material ejected is shown in green, and the mass of ejected boulder material that has been fragmented (D > 0.5) is shown in yellow. In each panel we show the ratio of the sum of ejected boulder mass to the sum of total ejecta mass (ratio = ∑Mb/∑M).
Current usage metrics show cumulative count of Article Views (full-text article views including HTML views, PDF and ePub downloads, according to the available data) and Abstracts Views on Vision4Press platform.
Data correspond to usage on the plateform after 2015. The current usage metrics is available 48-96 hours after online publication and is updated daily on week days.
Initial download of the metrics may take a while.