Open Access
Erratum
This article is an erratum for:
[https://doi.org/10.1051/0004-6361/201730944]


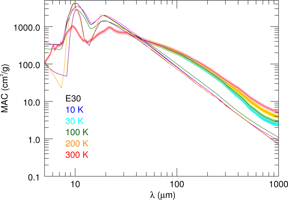
Fig. A.5

image

Download original image

Comparison of the MAC of sample E30 with the MAC calculated for astronomical dust models. The MAC calculated with the astrosil is shown for a 0.1 μm size grain (black), for a log-normal grain size distribution with a mean diameter of 1 μm for spherical grains (magenta), and for a CDE distribution (green). The MAC calculated with the THEMIS dust model is shown for a spherical grain of 100 nm in diameter for amorphous forsterite (purple) and amorphous enstatite (orange).

Current usage metrics show cumulative count of Article Views (full-text article views including HTML views, PDF and ePub downloads, according to the available data) and Abstracts Views on Vision4Press platform.

Data correspond to usage on the plateform after 2015. The current usage metrics is available 48-96 hours after online publication and is updated daily on week days.

Initial download of the metrics may take a while.