Open Access

Fig. 2.

image

Download original image

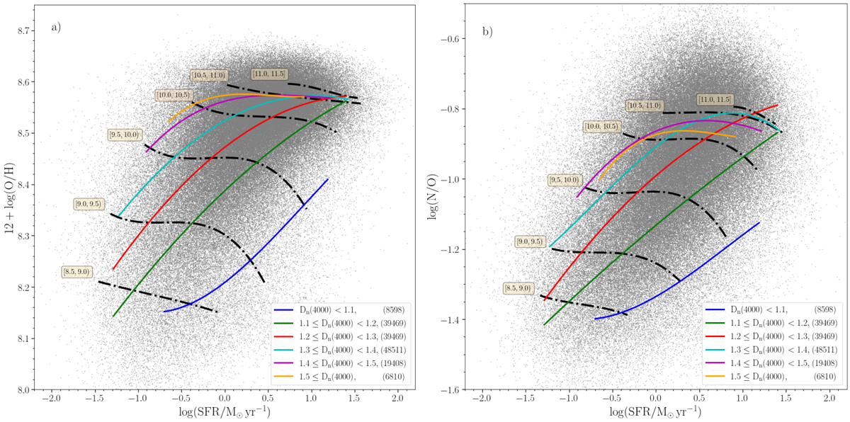
Relation between 12+log(O/H) (panel a) and log(N/O) (panel b) and SFR for our sample of SDSS star-forming galaxies. Blue, green, red, cyan, magenta, and yellow solid lines represent the fits to the running median for bins of 1000 objects in six Dn(4000) bins. The number of star-forming galaxies in each Dn(4000) bin appears on the legend. Black dash-dotted lines show the 12+log(O/H) (panel a) and log(N/O) (panel b) vs. SFR fits to the running median for bins of 1000 objects in six log(M/M) bins (each box shows the considered log(M/M) range).

Current usage metrics show cumulative count of Article Views (full-text article views including HTML views, PDF and ePub downloads, according to the available data) and Abstracts Views on Vision4Press platform.

Data correspond to usage on the plateform after 2015. The current usage metrics is available 48-96 hours after online publication and is updated daily on week days.

Initial download of the metrics may take a while.