Open Access

Fig. 3.

image

Download original image

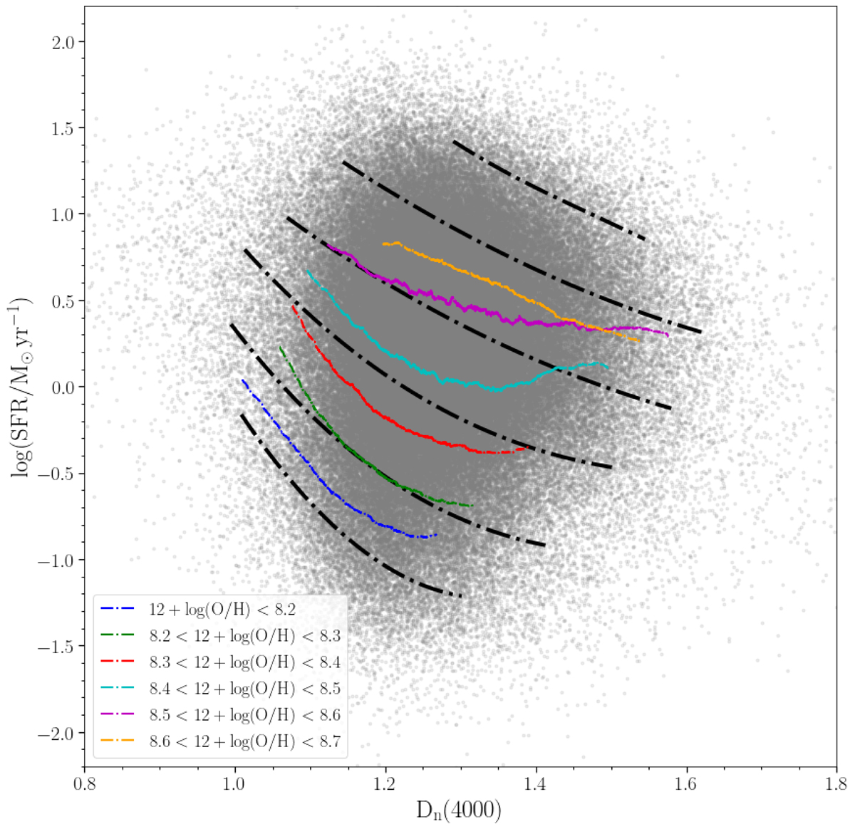
Relation between SFR and Dn(4000) for our sample of star-forming galaxies. Blue, green, red, cyan, magenta, and yellow solid lines represent the running median for bins of 2000 objects in six O/H bins. Black dash-dotted lines show the fit to the running median for bins of 1000 objects in six log(M/M), bins, from low stellar mass (8.5, lower part of the figure) to high stellar mass (11.5, higher part of the figure).

Current usage metrics show cumulative count of Article Views (full-text article views including HTML views, PDF and ePub downloads, according to the available data) and Abstracts Views on Vision4Press platform.

Data correspond to usage on the plateform after 2015. The current usage metrics is available 48-96 hours after online publication and is updated daily on week days.

Initial download of the metrics may take a while.