Open Access

Fig. 3

image

Download original image

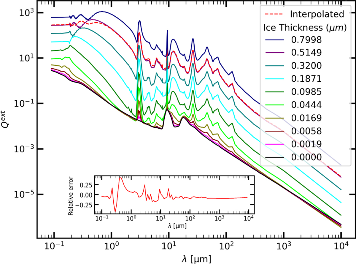
Extinction efficiency for a grain size 0.0559 µm (with respect to the bare grain geometrical cross section) with different ice thicknesses composed of H2O, NH3, CO, CO2, CH4, CH3OH in ratio 0.45:0.20:0.10:0.05:0.05:0.15 with 20% of porosity. Also shown is the validity of the interpolation for a constant ice thickness layer of 0.515 µm. The embedded panel shows the relative error between the interpolation and explicit calculation of efficiency for the icy grain.

Current usage metrics show cumulative count of Article Views (full-text article views including HTML views, PDF and ePub downloads, according to the available data) and Abstracts Views on Vision4Press platform.

Data correspond to usage on the plateform after 2015. The current usage metrics is available 48-96 hours after online publication and is updated daily on week days.

Initial download of the metrics may take a while.