Open Access

Fig. 8.

image

Download original image

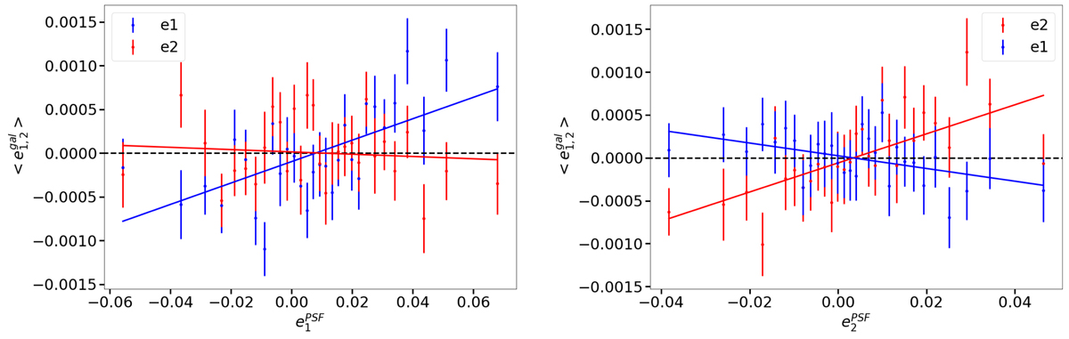
PSF leakage using the averaged galaxy shape in bins of PSF ellipticity component 1 (left panel) and component 2 (right panel). For the figure on the left, we find and . For the figure on the right we find and .

Current usage metrics show cumulative count of Article Views (full-text article views including HTML views, PDF and ePub downloads, according to the available data) and Abstracts Views on Vision4Press platform.

Data correspond to usage on the plateform after 2015. The current usage metrics is available 48-96 hours after online publication and is updated daily on week days.

Initial download of the metrics may take a while.