Open Access

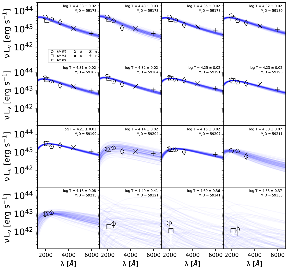
Fig. 6.

image

Download original image

Blackbody fitting of the TDE SED over time. The uncertainties become very large for the last three epochs as two data points do not provide much constraining power for the blackbody model.

Current usage metrics show cumulative count of Article Views (full-text article views including HTML views, PDF and ePub downloads, according to the available data) and Abstracts Views on Vision4Press platform.

Data correspond to usage on the plateform after 2015. The current usage metrics is available 48-96 hours after online publication and is updated daily on week days.

Initial download of the metrics may take a while.