Fig. 3.

Download original image
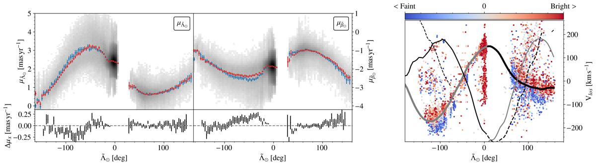
Proper motions and radial velocities of the bright (red) and faint (blue) branches of the Sgr stream. Left: proper motions of the two branches and their differences with 3σ error bars, computed as the standard error of the weighted mean (Cochran 1977). Right: radial velocity coloured by for the sources with Prob(ϖ) > 0.8 (see text). The solid (first wrap) and dashed (second and third wraps) correspond to the leading (black) and trailing (grey) arms of the V21 model. Although the differences between the bright and faint branches are significant, they are most likely caused exclusively by the correlation between distance, proper motion, and
.
Current usage metrics show cumulative count of Article Views (full-text article views including HTML views, PDF and ePub downloads, according to the available data) and Abstracts Views on Vision4Press platform.
Data correspond to usage on the plateform after 2015. The current usage metrics is available 48-96 hours after online publication and is updated daily on week days.
Initial download of the metrics may take a while.