Open Access
Fig. 8

Download original image
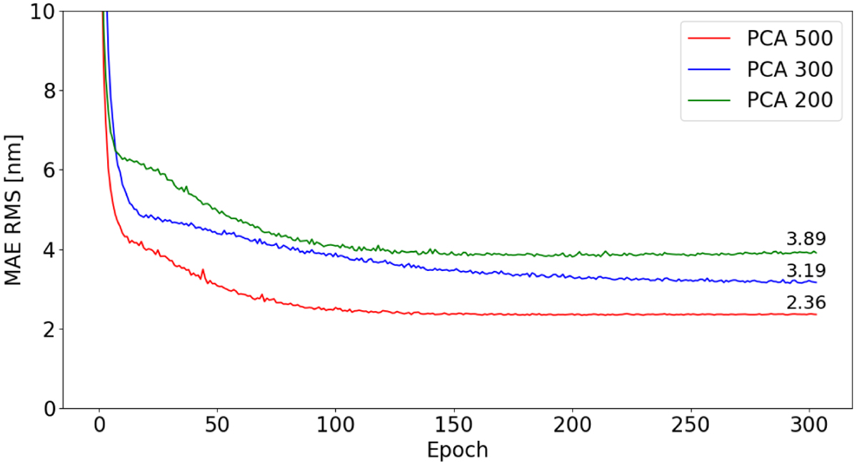
Mean absolute error (MAE) over the Zernike component vs. training epochs of the NN. A larger number of PCA components allows a faster and more accurate training of the NN. The asymptotic values for each PCA curve are reported above the plot final parts.
Current usage metrics show cumulative count of Article Views (full-text article views including HTML views, PDF and ePub downloads, according to the available data) and Abstracts Views on Vision4Press platform.
Data correspond to usage on the plateform after 2015. The current usage metrics is available 48-96 hours after online publication and is updated daily on week days.
Initial download of the metrics may take a while.