Open Access

Fig. 5

image

Download original image

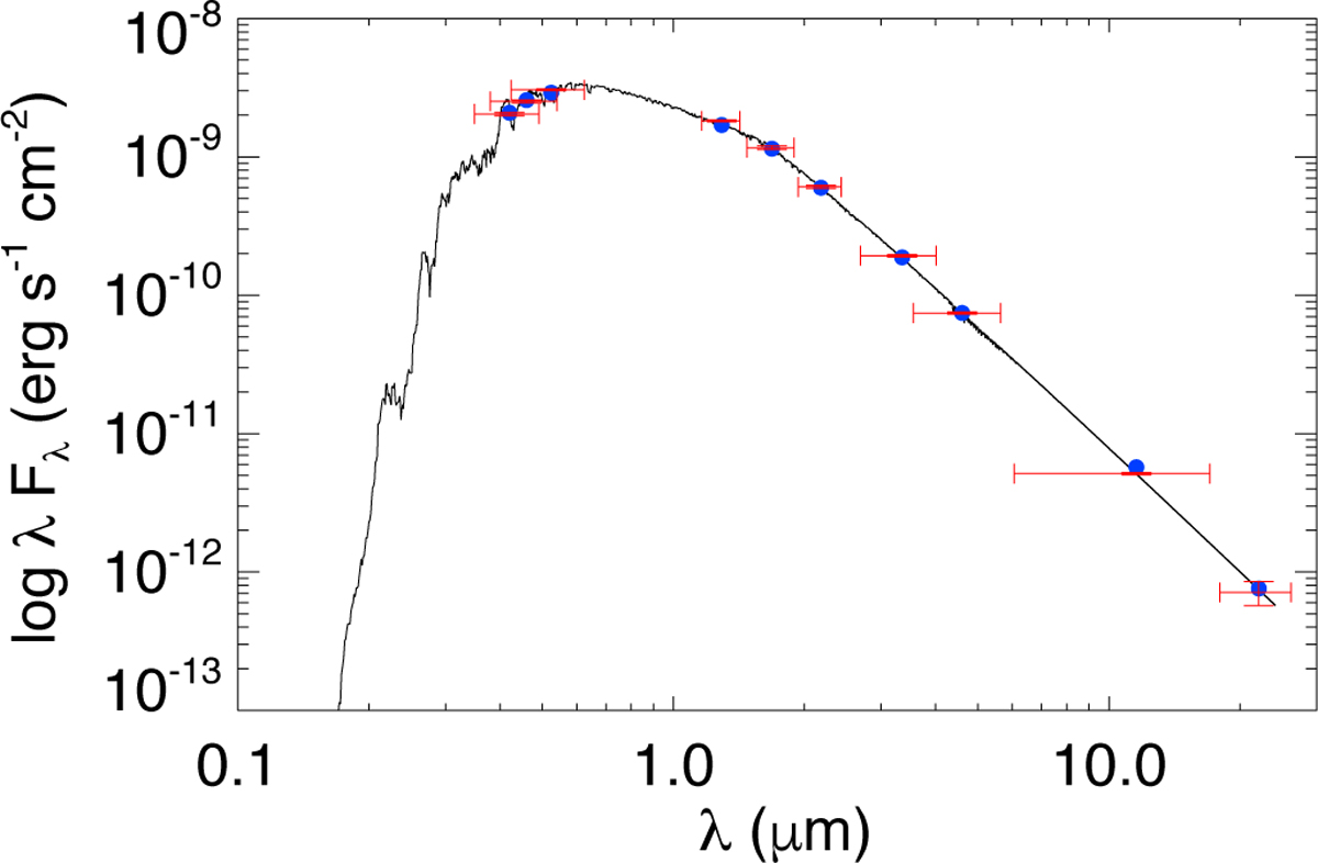
Spectral energy distribution of TOI-1710. The red markers represent the photometric measurements; the vertical error bars correspond to the reported measurement uncertainties from the catalog photometry (Table 1, Magnitudes). The horizontal error bars depict the effective width of each passband. The black curve corresponds to the most likely stellar atmosphere model. Blue circles identify the model fluxes over each passband.

Current usage metrics show cumulative count of Article Views (full-text article views including HTML views, PDF and ePub downloads, according to the available data) and Abstracts Views on Vision4Press platform.

Data correspond to usage on the plateform after 2015. The current usage metrics is available 48-96 hours after online publication and is updated daily on week days.

Initial download of the metrics may take a while.