Open Access

Fig. 3

image

Download original image

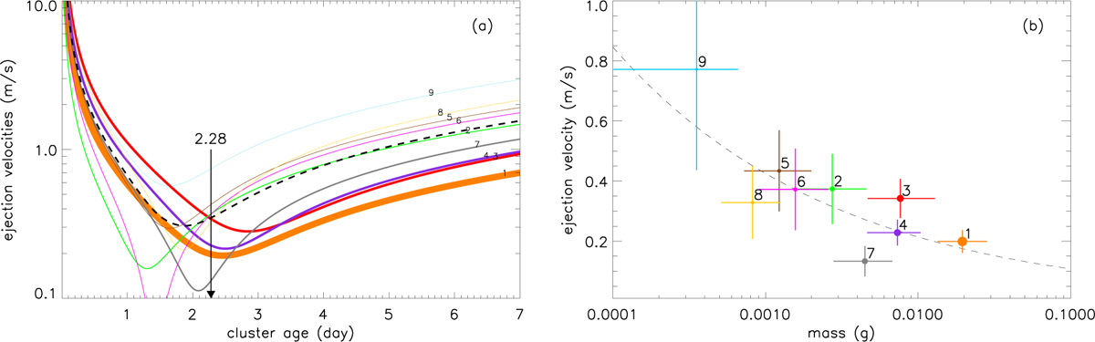
Ejection velocity of fragments from the nominal cluster. (a) Ejection velocity as a function of the cluster age. Each curve is labeled with the number of the corresponding fragment and the dashed line represents the mean value. (b) Ejection velocity as a function of mass. The error bars indicate two standard combined uncertainties per side from each point. The dashed curve is the fit by function υm−0.3.

Current usage metrics show cumulative count of Article Views (full-text article views including HTML views, PDF and ePub downloads, according to the available data) and Abstracts Views on Vision4Press platform.

Data correspond to usage on the plateform after 2015. The current usage metrics is available 48-96 hours after online publication and is updated daily on week days.

Initial download of the metrics may take a while.