Open Access

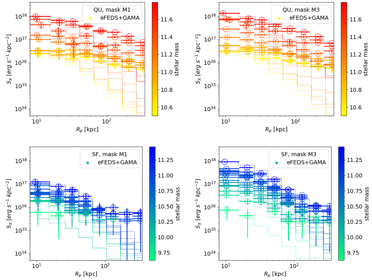
Fig. 6.

image

Download original image

Comparison of the background-subtracted projected luminosity profiles in the 0.5–2.0 keV rest-frame band (M1 mask, left panels; M3 mask, right panels) for quiescent (top) and star-forming (bottom) samples as a function of galaxy stellar mass. The star-forming profiles are compatible with point-source emission profiles (dashes), although we note that the uncertainties are large, in particular for projected radii larger than 100 kpc. The quiescent profiles appear extended in comparison.

Current usage metrics show cumulative count of Article Views (full-text article views including HTML views, PDF and ePub downloads, according to the available data) and Abstracts Views on Vision4Press platform.

Data correspond to usage on the plateform after 2015. The current usage metrics is available 48-96 hours after online publication and is updated daily on week days.

Initial download of the metrics may take a while.