Open Access

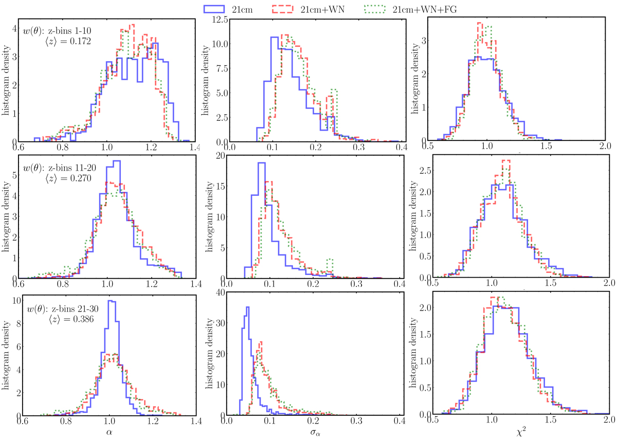
Fig. 3.

image

Download original image

Histogram distribution of the α parameter, σα error, and χ2 obtained by applying the BAO fitting pipeline to each of the FLASK simulations for the ACF estimator using the fiducial configuration. The rows from top to bottom show the results for each redshift range, the lower (1−10 z-bins), the intermediate (11−20 z-bins), and the higher redshifts (21−30 z-bins). The average redshift for each range is presented in the first panel of each row. In all the plots, the solid blue, dashed red, and dotted green lines show the distribution of the parameters resulting from analyzing the 21 cm only simulations (21 cm), the noisy 21 cm simulations (21 cm + WN), and the BINGO-like simulations (adding also the foreground residual; 21 cm + WN + FG), respectively. All these results correspond to the Ns fraction of the mocks. See Table 2.

Current usage metrics show cumulative count of Article Views (full-text article views including HTML views, PDF and ePub downloads, according to the available data) and Abstracts Views on Vision4Press platform.

Data correspond to usage on the plateform after 2015. The current usage metrics is available 48-96 hours after online publication and is updated daily on week days.

Initial download of the metrics may take a while.