Open Access

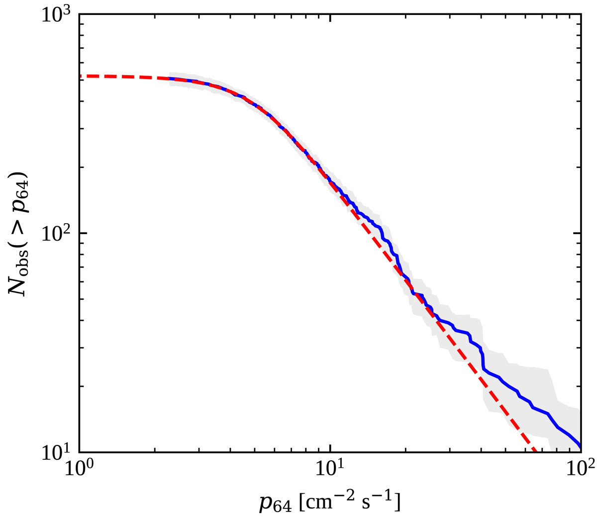
Fig. B.1.

image

Download original image

Fermi/GBM observed inverse cumulative distribution of 64-ms-binned photon fluxes in the 10-1000 keV band (blue solid line, with the grey band showing the 90% confidence band due to Poisson and measurement uncertainties), compared with our best-fitting model, Eq. B.4, with α = 2.25 and ph cm−2 s−1 (red dashed line). The slight excess over the expected trend at high fluxes is likely due to contamination of the sample by magnetar giant flares in local galaxies (Burns et al. 2021).

Current usage metrics show cumulative count of Article Views (full-text article views including HTML views, PDF and ePub downloads, according to the available data) and Abstracts Views on Vision4Press platform.

Data correspond to usage on the plateform after 2015. The current usage metrics is available 48-96 hours after online publication and is updated daily on week days.

Initial download of the metrics may take a while.