Open Access

Fig. 4

image

Download original image

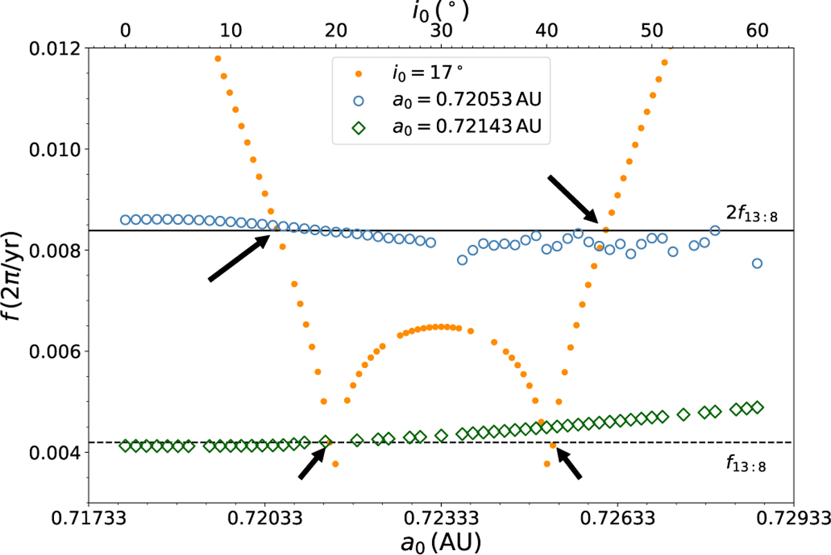
Libration frequency f of the 1:1 resonant angle for VTs (cos σ) vs initial semi-major axis (bottom abscissa) and initial inclination (top abscissa). Solid squares in orange indicate the orbits with varying semi-major axis but fixed initial inclination i0 = 17°; while open circles in blue and diamonds in green indicate the orbits with varying initial inclination but fixed semi-major axes a0 = 0.72053 and 0.72143 AU, respectively. The frequency of the 13:8 NMMR between the Earth and Venus f13:8 and its double value 2f13:8 are depicted by the dashed and solid lines, respectively. The arrows point to the intersections of f with these two lines.

Current usage metrics show cumulative count of Article Views (full-text article views including HTML views, PDF and ePub downloads, according to the available data) and Abstracts Views on Vision4Press platform.

Data correspond to usage on the plateform after 2015. The current usage metrics is available 48-96 hours after online publication and is updated daily on week days.

Initial download of the metrics may take a while.