Open Access

Fig. 17

image

Download original image

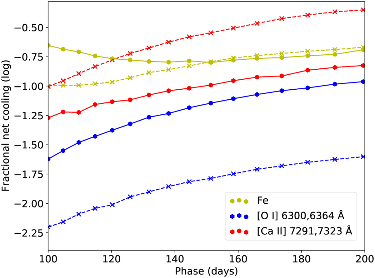
Evolution of the (fractional) net collisional cooling in the nebular phase for the Fe lines (yellow) and the [O i] 6300, 6364 Å (blue) and [Ca ii] 7291, 7323 Å (red) lines in the core (υ = 2900 km s−1) for the macroscopically mixed standard model (circles and solid lines) and the microscopically mixed model (crosses and dashed lines).

Current usage metrics show cumulative count of Article Views (full-text article views including HTML views, PDF and ePub downloads, according to the available data) and Abstracts Views on Vision4Press platform.

Data correspond to usage on the plateform after 2015. The current usage metrics is available 48-96 hours after online publication and is updated daily on week days.

Initial download of the metrics may take a while.