Open Access

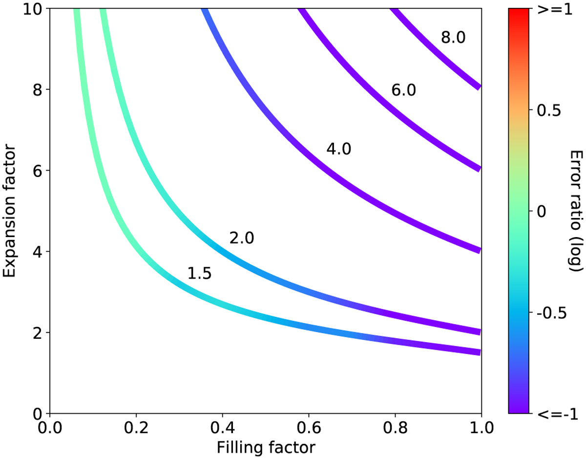
Fig. C.2

image

Download original image

Effective opacity decrease in a medium with uniform grey opacity, where clumps of one type have been expanded by a factor fE to reach a filling factor of ΦE. Contours are shown for a decrease in the effective opacity by a factor of 1.5, 2, 4, 6, and 8. The colour of the contours shows the ratio of the error from using our method to the error from not using it.

Current usage metrics show cumulative count of Article Views (full-text article views including HTML views, PDF and ePub downloads, according to the available data) and Abstracts Views on Vision4Press platform.

Data correspond to usage on the plateform after 2015. The current usage metrics is available 48-96 hours after online publication and is updated daily on week days.

Initial download of the metrics may take a while.