Open Access

Fig. 1.

image

Download original image

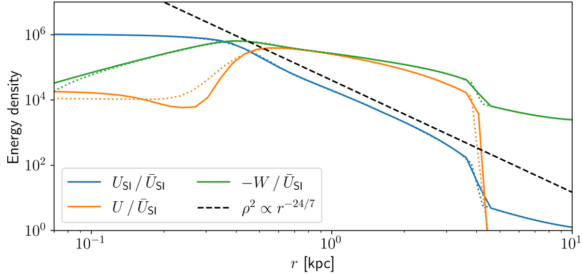
Self-interaction energy density USI, thermal energy density U, and gravitational potential energy density W of the spherically symmetric test halo with Rc = 1 kpc, relative to the interaction energy of the initial background . The result of the simulation with refinement levels 8 to 12 are shown in solid, while 7 to 11 is shown in dotted. The 3D simulation reproduces the 1D results of Ahn & Shapiro (2005) and Dawoodbhoy et al. (2021), in particular the large thermal energy in the wake of the accretion shock, its sharp decrease to below the self-interaction energy inside the core, and the fit USI ∝ ρ2 ∝ r−24/7 in the envelope.

Current usage metrics show cumulative count of Article Views (full-text article views including HTML views, PDF and ePub downloads, according to the available data) and Abstracts Views on Vision4Press platform.

Data correspond to usage on the plateform after 2015. The current usage metrics is available 48-96 hours after online publication and is updated daily on week days.

Initial download of the metrics may take a while.