Open Access

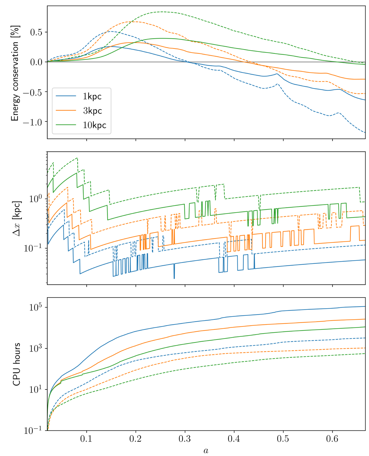
Fig. 2.

image

Download original image

Energy conservation (top), the smallest resolved physical cell length (middle), and the runtime in CPU hours (bottom) for the main suite of simulations. Runs with a minimum refinement level of 8 are shown in solid lines, and 7 in dotted lines.

Current usage metrics show cumulative count of Article Views (full-text article views including HTML views, PDF and ePub downloads, according to the available data) and Abstracts Views on Vision4Press platform.

Data correspond to usage on the plateform after 2015. The current usage metrics is available 48-96 hours after online publication and is updated daily on week days.

Initial download of the metrics may take a while.