Open Access

Fig. 3.

image

Download original image

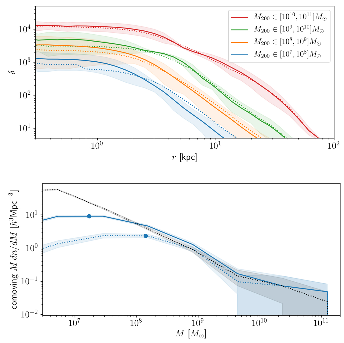
Binned SIBEC-DM halo profiles and the HMF for Rc = 1 kpc at z = 1.5, with minimum refinement level 7 (dotted) and 8 (solid). The HMF of CDM for the same box size and initial resolution is included in black. The halo mass limit Mmin are indicated by dots. The standard deviation from the binned halo profile mean for level 8, as well as the Poisson error in the HMF, are shown in shaded.

Current usage metrics show cumulative count of Article Views (full-text article views including HTML views, PDF and ePub downloads, according to the available data) and Abstracts Views on Vision4Press platform.

Data correspond to usage on the plateform after 2015. The current usage metrics is available 48-96 hours after online publication and is updated daily on week days.

Initial download of the metrics may take a while.