Open Access

Fig. 8.

image

Download original image

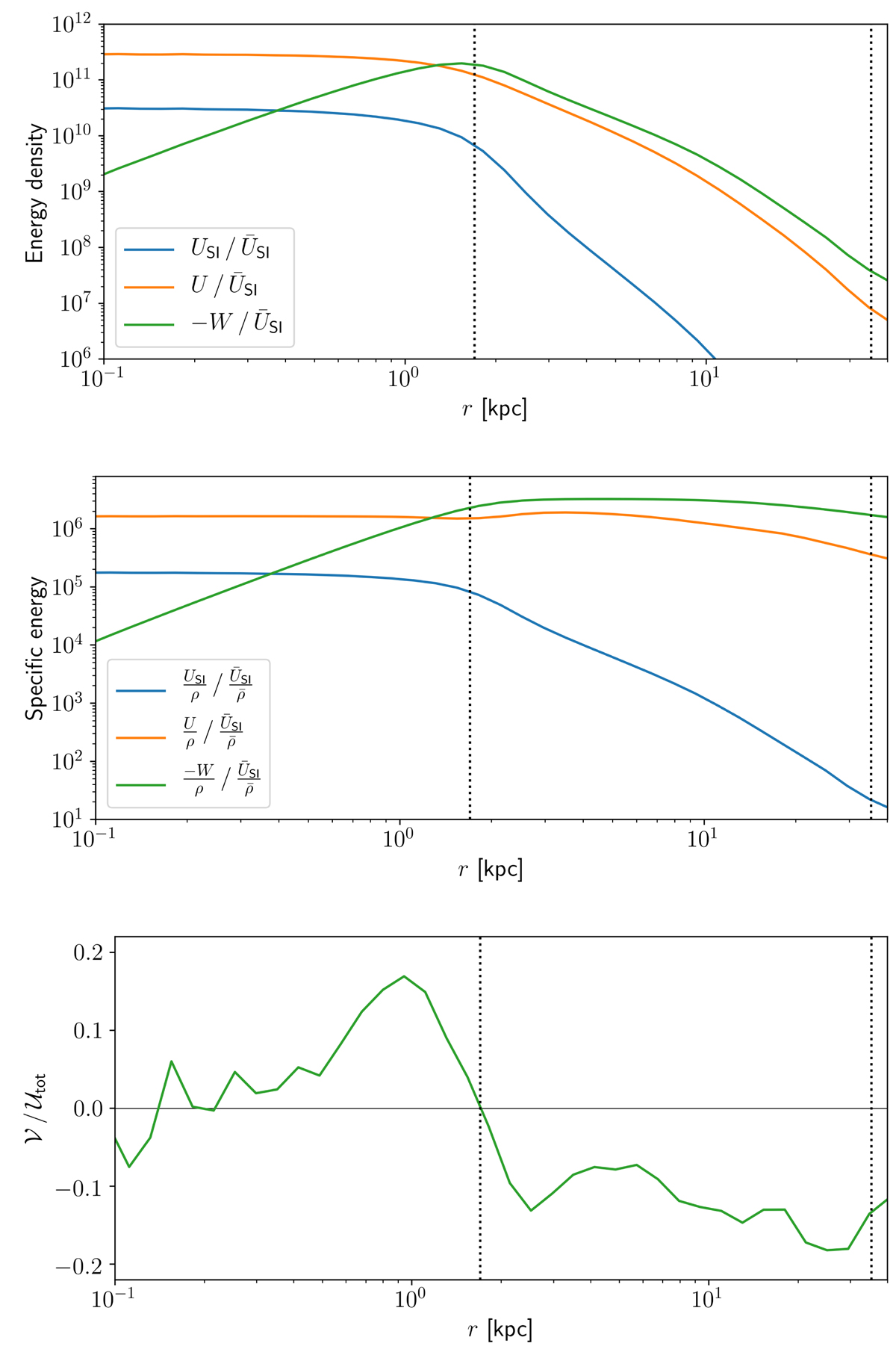
Top panel: self-interaction energy density USI, thermal energy density U, and gravitational potential energy density W of a sample halo with Rc = 1 kpc and M200 = 3 × 109M, relative to the interaction energy at the background level . The middle panel shows instead the specific energy, and the bottom panel the cumulative virial. The core radius rc and halo radius r200 are indicated with the inner and outer dotted vertical lines, respectively.

Current usage metrics show cumulative count of Article Views (full-text article views including HTML views, PDF and ePub downloads, according to the available data) and Abstracts Views on Vision4Press platform.

Data correspond to usage on the plateform after 2015. The current usage metrics is available 48-96 hours after online publication and is updated daily on week days.

Initial download of the metrics may take a while.