Open Access

Fig. 4

image

Download original image

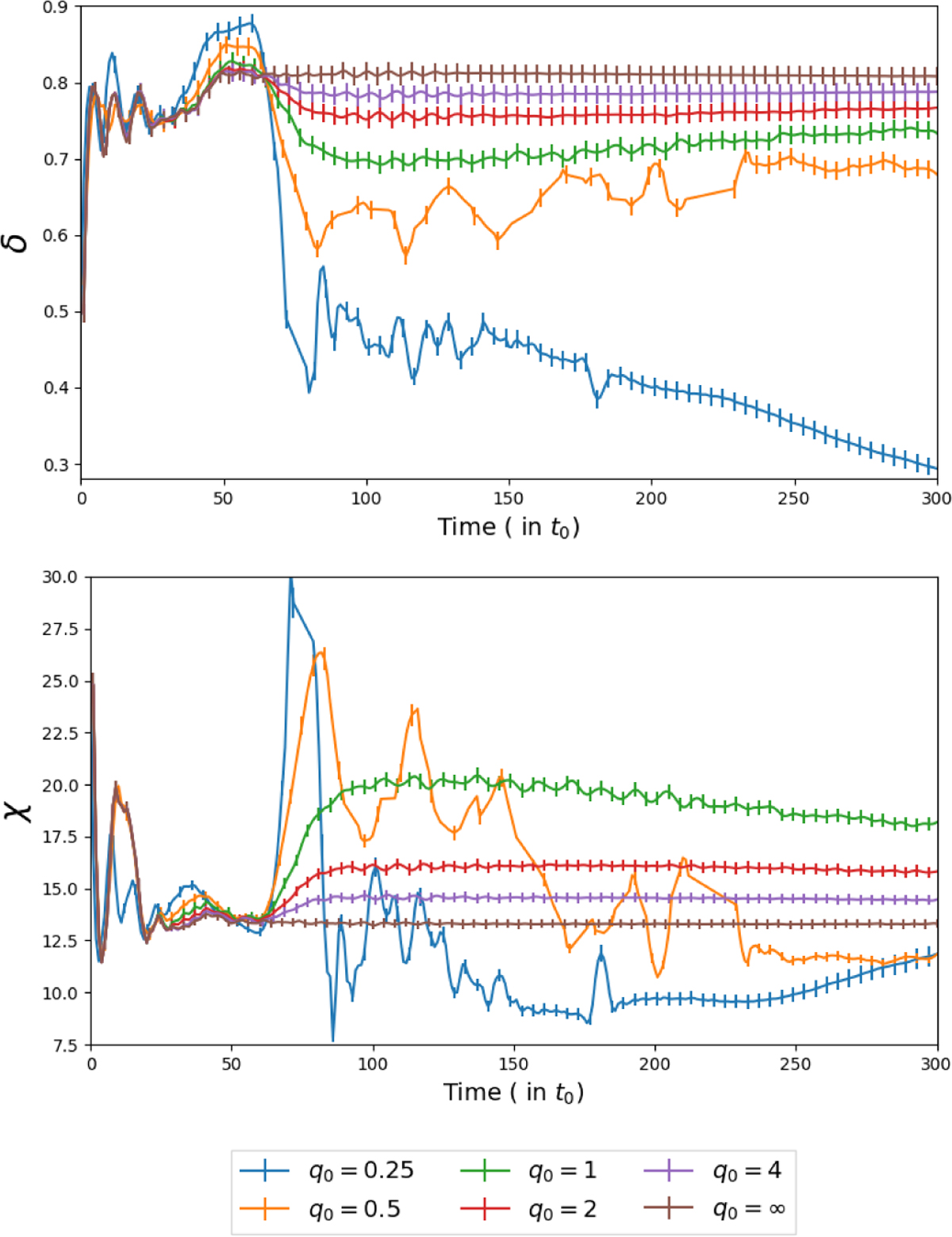
Morphological evolution for different values of the SG parameter. Top: semi-minor axis with respect to the pressure scale height at the vortex core for q0 = 0.25, 0.5, 1, 2, 4, ∞. Bottom: aspect ratio at the Ro = −0.08 level. Initial vortex parameters are: δ = 1.5 and χ = 14. For readability, uncertainties are plotted at every fourth time steps (see Appendix D).

Current usage metrics show cumulative count of Article Views (full-text article views including HTML views, PDF and ePub downloads, according to the available data) and Abstracts Views on Vision4Press platform.

Data correspond to usage on the plateform after 2015. The current usage metrics is available 48-96 hours after online publication and is updated daily on week days.

Initial download of the metrics may take a while.