Open Access

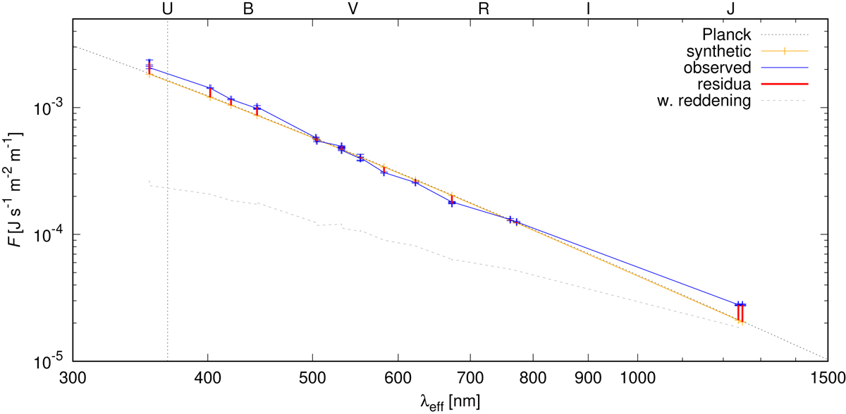
Fig. 11.

image

Download original image

Comparison of the dereddened (blue) and the synthetic SED (red). The NUV–NIR region is reasonably described by our N-body model, although there is a substantial excess of the observed flux in the far-infrared region. This is possibly related to non-thermal processes in stellar atmospheres or to the presence of circumstellar matter, which is not included in our N-body model.

Current usage metrics show cumulative count of Article Views (full-text article views including HTML views, PDF and ePub downloads, according to the available data) and Abstracts Views on Vision4Press platform.

Data correspond to usage on the plateform after 2015. The current usage metrics is available 48-96 hours after online publication and is updated daily on week days.

Initial download of the metrics may take a while.