Open Access

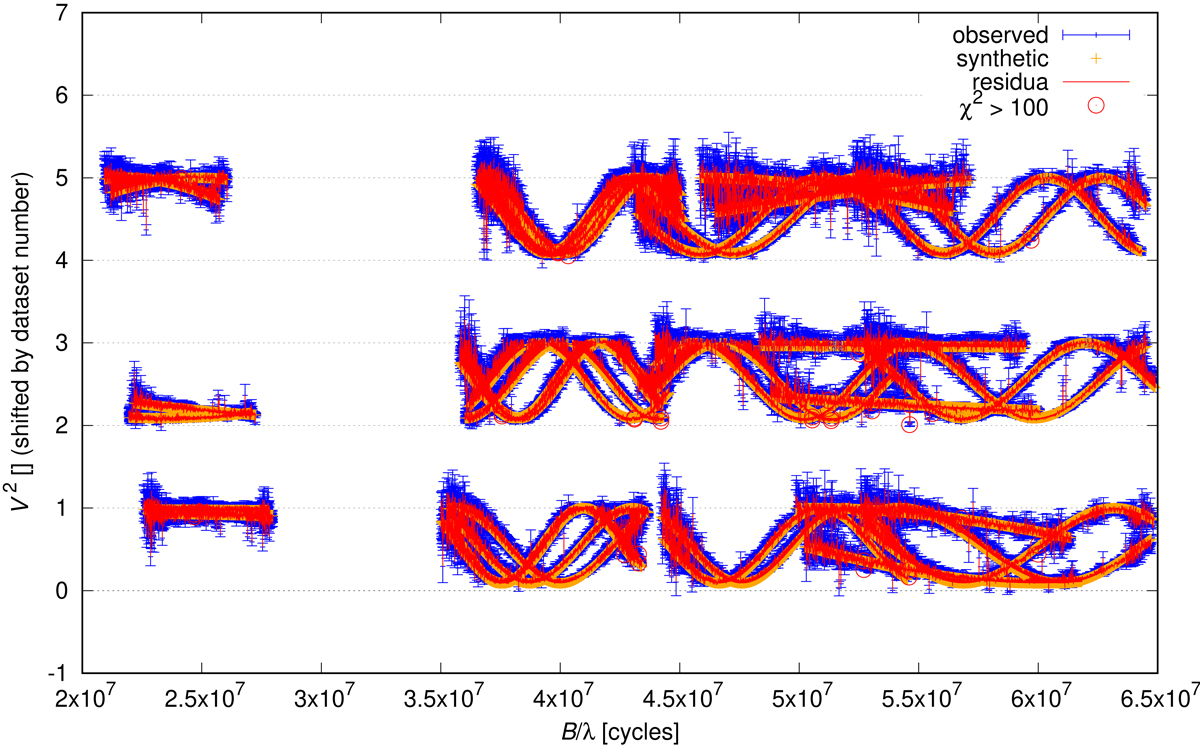
Fig. 12.

image

Download original image

Squared visibilities V2 for VLTI/GRAVITY observations (March 14, 2017 and April 27, 2017; blue), synthetic V2 (orange), and residuals (red). The sinusoidal dependence on the baseline B/λ essentially corresponds to a wide binary ((Ac1+Ac2)+(Aa1+Aa2)). Disks of individual stellar components cannot be resolved (at 0.08 mas, which correspond to a drop in V2 of only 0.01 at the longest baseline).

Current usage metrics show cumulative count of Article Views (full-text article views including HTML views, PDF and ePub downloads, according to the available data) and Abstracts Views on Vision4Press platform.

Data correspond to usage on the plateform after 2015. The current usage metrics is available 48-96 hours after online publication and is updated daily on week days.

Initial download of the metrics may take a while.