Open Access

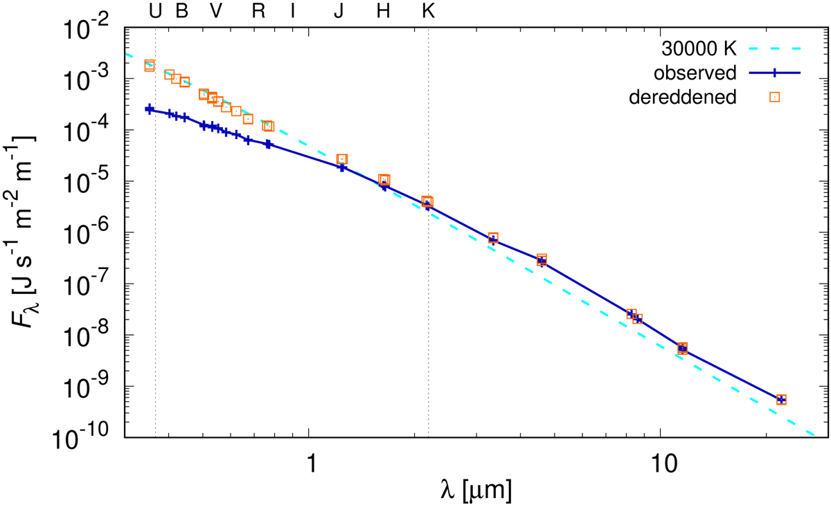
Fig. 2.

image

Download original image

Observed SED (blue) and dereddened SED (orange) for the distance 2870 pc. The dereddened fluxes Fλ approximately correspond to black-body radiation with the temperature 30 000 K (cyan). In the far-infrared, where absorption is negligible, a non-negligible (half order) excess is present.

Current usage metrics show cumulative count of Article Views (full-text article views including HTML views, PDF and ePub downloads, according to the available data) and Abstracts Views on Vision4Press platform.

Data correspond to usage on the plateform after 2015. The current usage metrics is available 48-96 hours after online publication and is updated daily on week days.

Initial download of the metrics may take a while.