Open Access

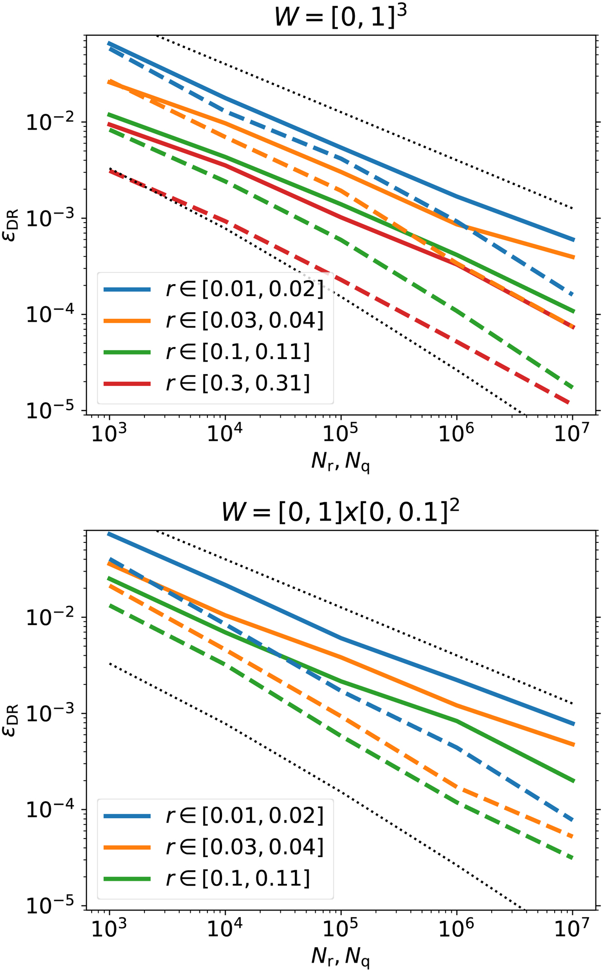
Fig. 3.

image

Download original image

Relative error εDR calculated for rectangular windows W with a standard Monte Carlo integration (solid lines) and with a quasi-Monte Carlo scheme using a randomised Halton sequence (dashed lines). The black dotted lines are proportional to (upper) and (log N)3/N (lower).

Current usage metrics show cumulative count of Article Views (full-text article views including HTML views, PDF and ePub downloads, according to the available data) and Abstracts Views on Vision4Press platform.

Data correspond to usage on the plateform after 2015. The current usage metrics is available 48-96 hours after online publication and is updated daily on week days.

Initial download of the metrics may take a while.