Open Access

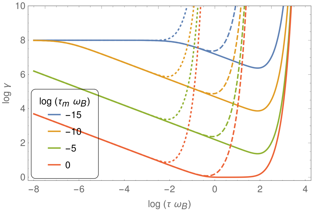
Fig. 10.

image

Download original image

Analytic evolution of the Lorentz factor with initial condition log γ0 = 8, different damping factors log b = {0, −5, −10, −15}, and different electric field strengths E0 relative to B0 such that log(E0/cB0) = {−2, 0, 2} in solid lines, dashed lines, and dotted lines, respectively.

Current usage metrics show cumulative count of Article Views (full-text article views including HTML views, PDF and ePub downloads, according to the available data) and Abstracts Views on Vision4Press platform.

Data correspond to usage on the plateform after 2015. The current usage metrics is available 48-96 hours after online publication and is updated daily on week days.

Initial download of the metrics may take a while.