Open Access

Fig. 14

image

Download original image

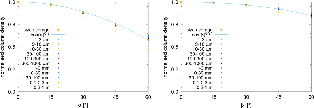
Dependence of the column density with αT and βT. αT is the angle between the orbital plane of the comet and the direction from the comet to the spacecraft at closet approach (α in Fig. 4). βT is the angle between the direction of the Sun and the direction from the nucleus to the closest approach projected into the orbital plane (β in Fig. 4 and not to be confused with β the power law). Left panel: normalised column density as a function of αT (°). Right panel: normalised column density as a function of βT (°)

Current usage metrics show cumulative count of Article Views (full-text article views including HTML views, PDF and ePub downloads, according to the available data) and Abstracts Views on Vision4Press platform.

Data correspond to usage on the plateform after 2015. The current usage metrics is available 48-96 hours after online publication and is updated daily on week days.

Initial download of the metrics may take a while.