Open Access

Fig. 2

image

Download original image

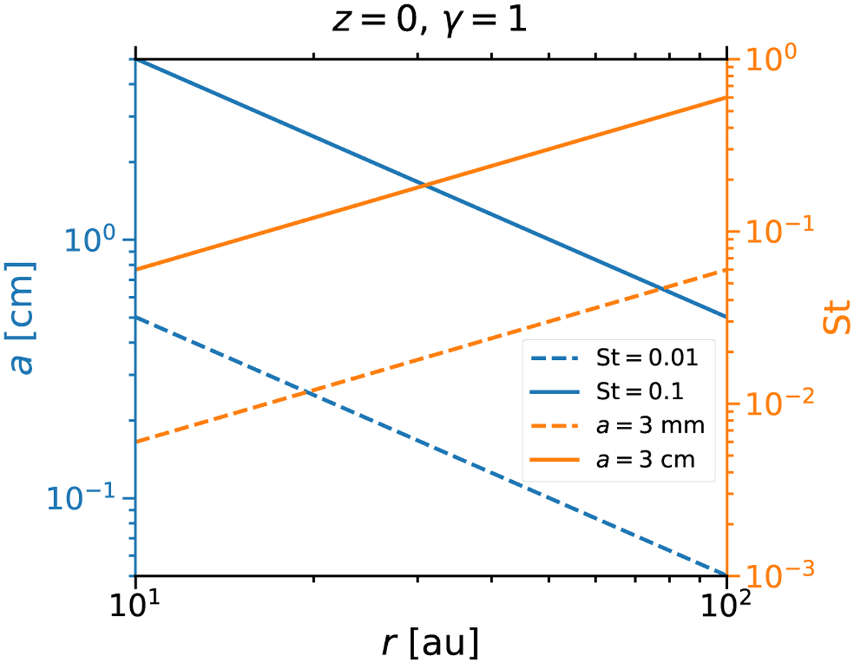
Dust size a (left ordinate) and Stokes number St (right ordinate) as functions of the radius r. Conversion relations between dust size and Stokes number in the mid-plane of our protoplanetary disk model (Eqs. (12)(13)) are shown for the two dust sizes (orange lines) and the two Stokes numbers (blue lines) that we simulated, assuming an isothermal equation of state.

Current usage metrics show cumulative count of Article Views (full-text article views including HTML views, PDF and ePub downloads, according to the available data) and Abstracts Views on Vision4Press platform.

Data correspond to usage on the plateform after 2015. The current usage metrics is available 48-96 hours after online publication and is updated daily on week days.

Initial download of the metrics may take a while.