Open Access

Fig. 5

image

Download original image

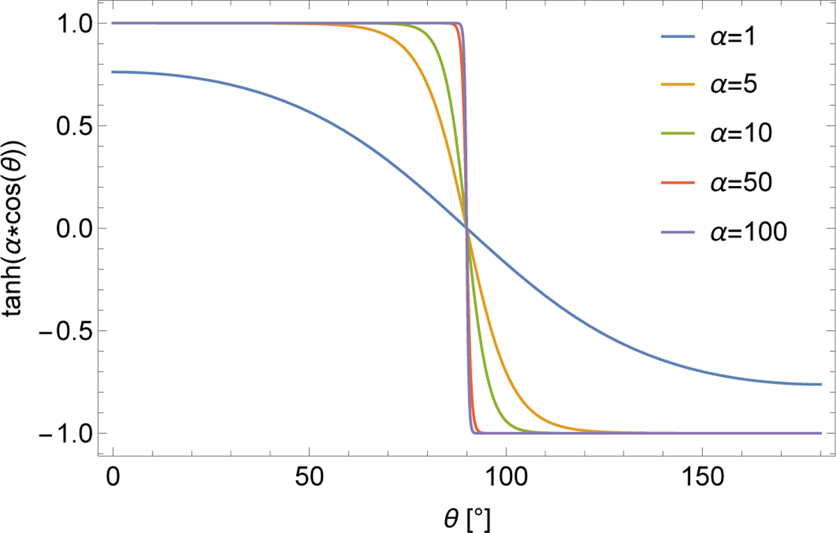
Sketch of the function of the tanh-term in Eq. (9) in modelling the transition region between the magnetic north and south. a models the broadness of the heliospheric current sheet.

Current usage metrics show cumulative count of Article Views (full-text article views including HTML views, PDF and ePub downloads, according to the available data) and Abstracts Views on Vision4Press platform.

Data correspond to usage on the plateform after 2015. The current usage metrics is available 48-96 hours after online publication and is updated daily on week days.

Initial download of the metrics may take a while.