Open Access

Fig. 1.

image

Download original image

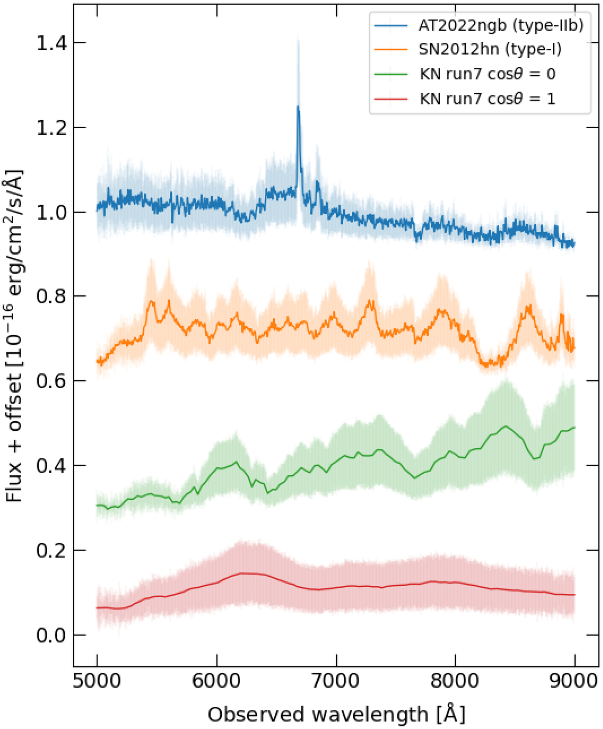
Qualitative comparison of the spectra, and their errors, of (from the top): (1) the intrinsically faint type I SN 2012hn (at 4 days before maximum, Valenti et al. 2014, note also the presence of bright nebular emission lines, such as Hα, [N II] and [S II], from the host galaxy); (2) the faint type IIb SN 2022ngb before peak luminosity (Izzo et al. 2022); (3) the modeled KN spectra of run7 viewed from edge on (cos θ = 0), (4) and face on (cos θ = 1) inclinations, as if they have been observed with MAAT/GTC using the grism R500 and an exposure time of 300 s, and being characterized by an observed magnitude of V = 21.5 mag.

Current usage metrics show cumulative count of Article Views (full-text article views including HTML views, PDF and ePub downloads, according to the available data) and Abstracts Views on Vision4Press platform.

Data correspond to usage on the plateform after 2015. The current usage metrics is available 48-96 hours after online publication and is updated daily on week days.

Initial download of the metrics may take a while.