Open Access

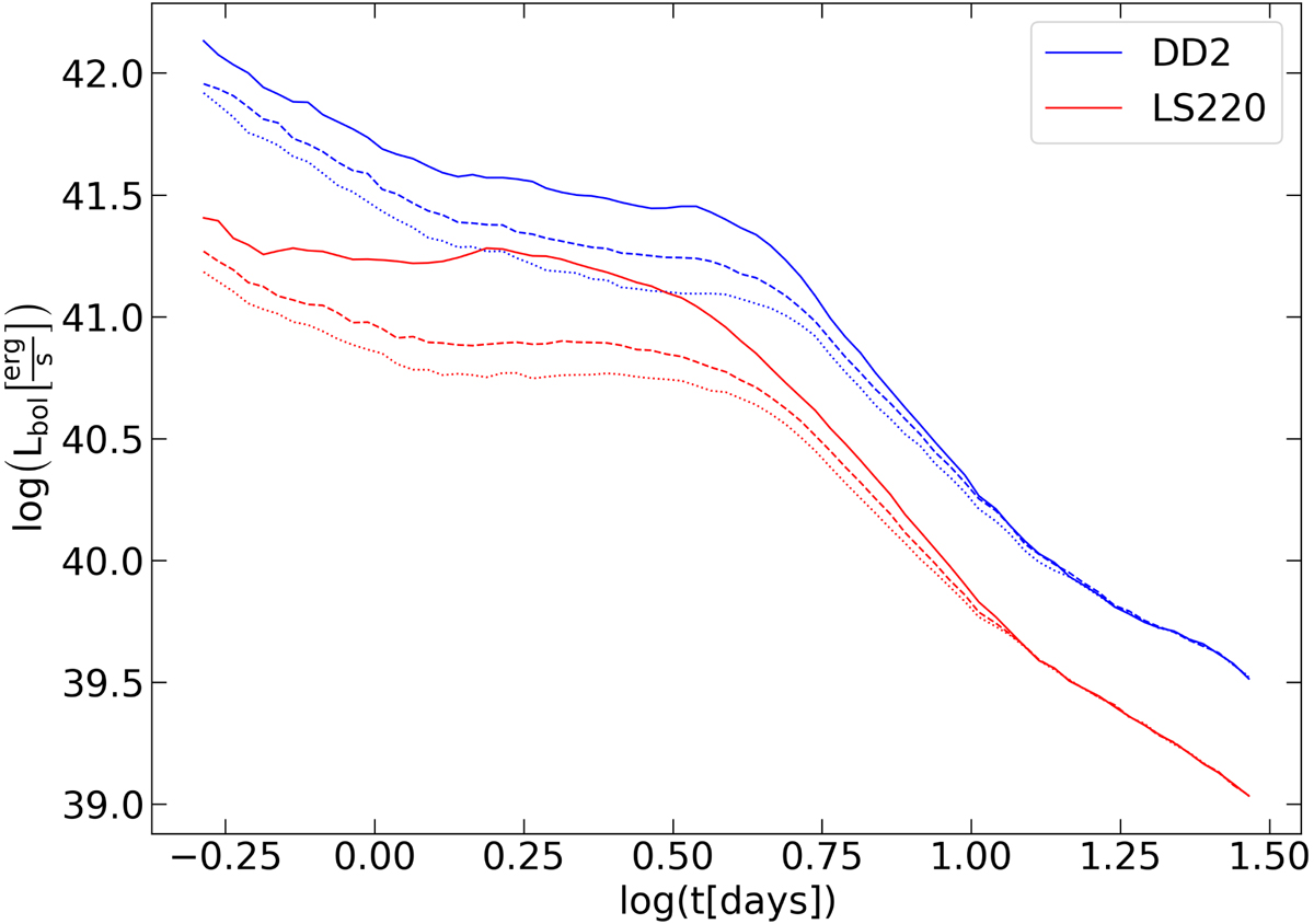
Fig. 2.

image

Download original image

Luminosity as a function of time obtained from two selected simulations concerning run 1 with EoS DD2 (blue line) and run 2 with EoS LS220 (red line), see Table 1. Solid, dashed and dotted lines refer to inclination angles cos θ = 1, 0.7, 0, respectively.

Current usage metrics show cumulative count of Article Views (full-text article views including HTML views, PDF and ePub downloads, according to the available data) and Abstracts Views on Vision4Press platform.

Data correspond to usage on the plateform after 2015. The current usage metrics is available 48-96 hours after online publication and is updated daily on week days.

Initial download of the metrics may take a while.