Open Access

Fig. 1

image

Download original image

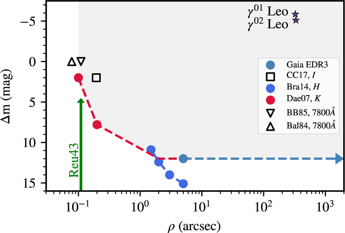
Magnitude difference versus projected angular separation diagram for observations of potential companions around AD Leo. Detections should be above and to the right of the lines (gray shaded region). Inaccurate detection claims are indicated with open symbols. Measurements from Gaia EDR3 are indicated with an extended arrow to the right to demonstrate it continues for many more arcseconds. The upwards green arrow represents a rough difference in magnitude interval from the astrometric masses indicated by Reuyl (1943), which are difficult to pinpoint as they are subject to huge uncertainties. The bright binary γ Leo in the background of AD Leo is discussed in Sect. 2.3. References: CC17: Cortés-Contreras et al. (2017); Bra14: Brandt et al. (2014); Dae07: Daemgen et al. (2007); BB85: Balega & Balega (1985); Bal84: Balega et al. (1984); Reu43: Reuyl (1943), astrometry; Gaia EDR3: Gaia Collaboration (2021), astrometry.

Current usage metrics show cumulative count of Article Views (full-text article views including HTML views, PDF and ePub downloads, according to the available data) and Abstracts Views on Vision4Press platform.

Data correspond to usage on the plateform after 2015. The current usage metrics is available 48-96 hours after online publication and is updated daily on week days.

Initial download of the metrics may take a while.