Open Access

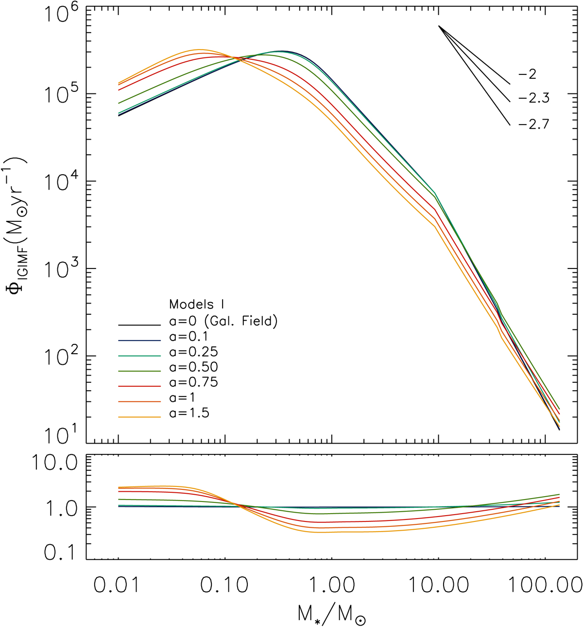
Fig. 1.

image

Download original image

IGIMF in the presence of IMF variations. Upper panel: IGIMF for the case where the IMF of clusters has the same shape (a = 0, reference model), and for models where each of the parameters of the IMF (Γ, γ, and Mch) has a Gaussian distribution. The width of these Gaussian distributions is described by the parameter a which is the number of times the standard deviations of each of these parameters measured by Dib (2014) for young clusters in the Milky Way (σΓ = 0.6, σγ = 0.25, and σMch = 0.27 M). The other input quantities such as the slope of the cluster mass function, minimum and maximum stellar masses, and minimum and maximum cluster mass are the same in all models (see text for details). Lower panel: ratio of each model to the reference model.

Current usage metrics show cumulative count of Article Views (full-text article views including HTML views, PDF and ePub downloads, according to the available data) and Abstracts Views on Vision4Press platform.

Data correspond to usage on the plateform after 2015. The current usage metrics is available 48-96 hours after online publication and is updated daily on week days.

Initial download of the metrics may take a while.