Open Access

Fig. 2.

image

Download original image

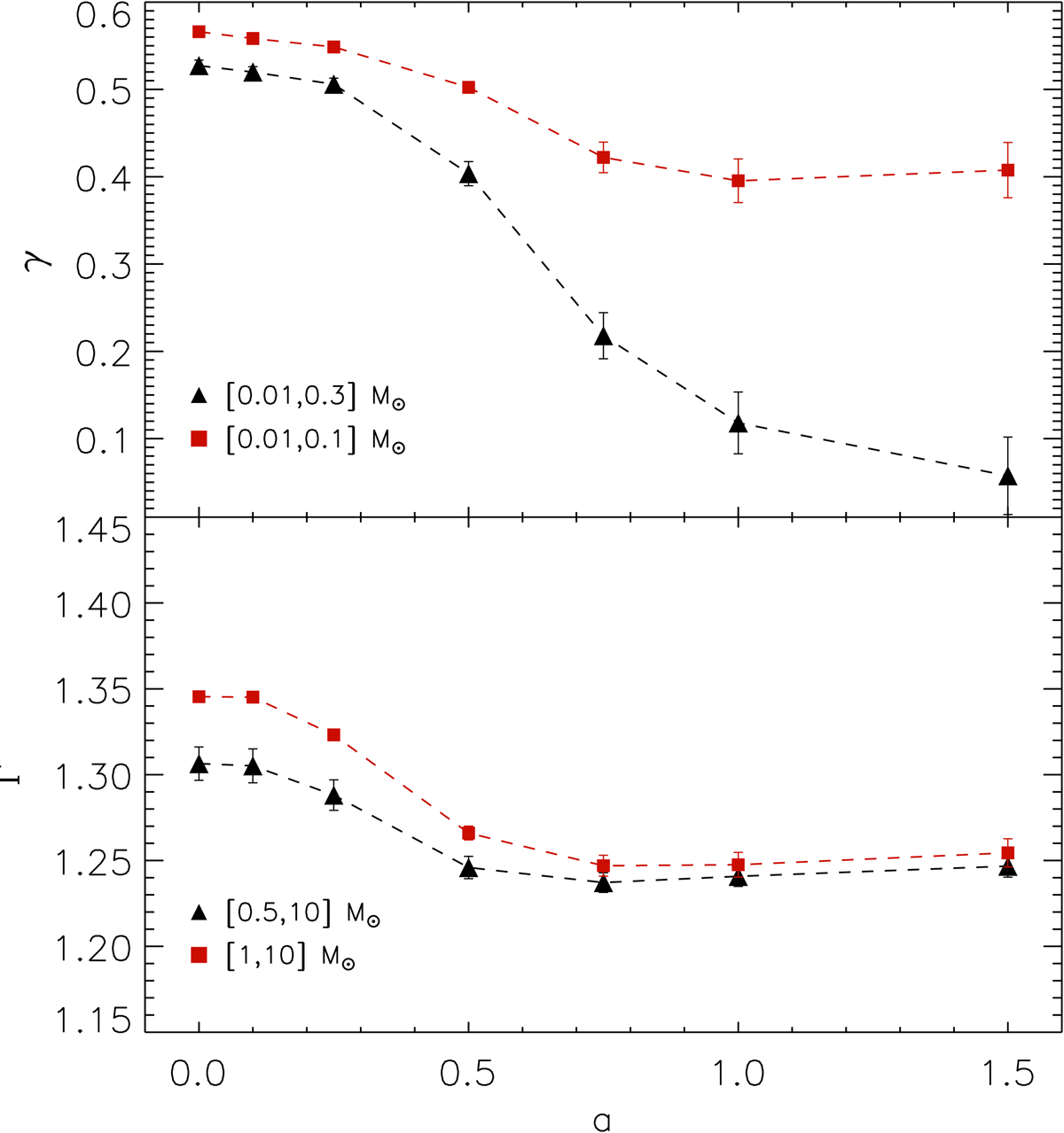
Slope of the IGIMF at the low-mass end, specifically when the IGIMF was fitted with power laws in the mass ranges [0.01, 0.1] M and [0.01, 0.3] M (upper subpanel), and the slope of the IGIMF at the high-mass end when the IGIMF was fitted with a power law in the mass ranges [0.5, 10] M and [1, 10] M (lower subpanel) These calculations are based on the models presented in Fig. 1.

Current usage metrics show cumulative count of Article Views (full-text article views including HTML views, PDF and ePub downloads, according to the available data) and Abstracts Views on Vision4Press platform.

Data correspond to usage on the plateform after 2015. The current usage metrics is available 48-96 hours after online publication and is updated daily on week days.

Initial download of the metrics may take a while.