Open Access

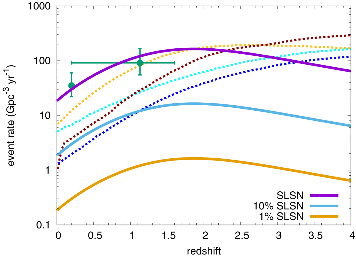
Fig. 7.

image

Download original image

Event rates used in survey simulations. The SLSN event rate is estimated by setting the SLSN event rate at z = 0.2 to be 30 Gpc−3 yr−1 (Quimby et al. 2013; Frohmaier et al. 2021) and extrapolating it following the cosmic SFR density of Madau & Dickinson (2014). For reference, the SLSN rates constrained by observations at z ∼ 0.2 (Frohmaier et al. 2021) and z ∼ 1.1 (Prajs et al. 2017) are shown. We also used the 10% and 1% SLSN rates for PISNe. Four theoretical PISN rate estimates by Briel et al. (2022, dotted lines) are shown for comparison. The four models have different assumptions on the cosmic SFR history.

Current usage metrics show cumulative count of Article Views (full-text article views including HTML views, PDF and ePub downloads, according to the available data) and Abstracts Views on Vision4Press platform.

Data correspond to usage on the plateform after 2015. The current usage metrics is available 48-96 hours after online publication and is updated daily on week days.

Initial download of the metrics may take a while.