Open Access

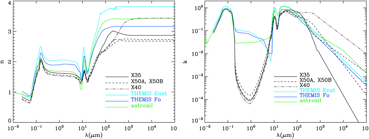
Fig. 11

image

Download original image

Comparison of the optical constants of magnesium-rich samples at 10 K with the silicate components of cosmic dust models: X35 (continuous black line), X50A and X50B (dashed lines), and X40 (dotted-dashed line), compared to that for the amorphous forsterite-type (dark blue line) and enstatite-type (light blue line) silicates used in the THEMIS model and to the astrosil (green line).

Current usage metrics show cumulative count of Article Views (full-text article views including HTML views, PDF and ePub downloads, according to the available data) and Abstracts Views on Vision4Press platform.

Data correspond to usage on the plateform after 2015. The current usage metrics is available 48-96 hours after online publication and is updated daily on week days.

Initial download of the metrics may take a while.