Open Access

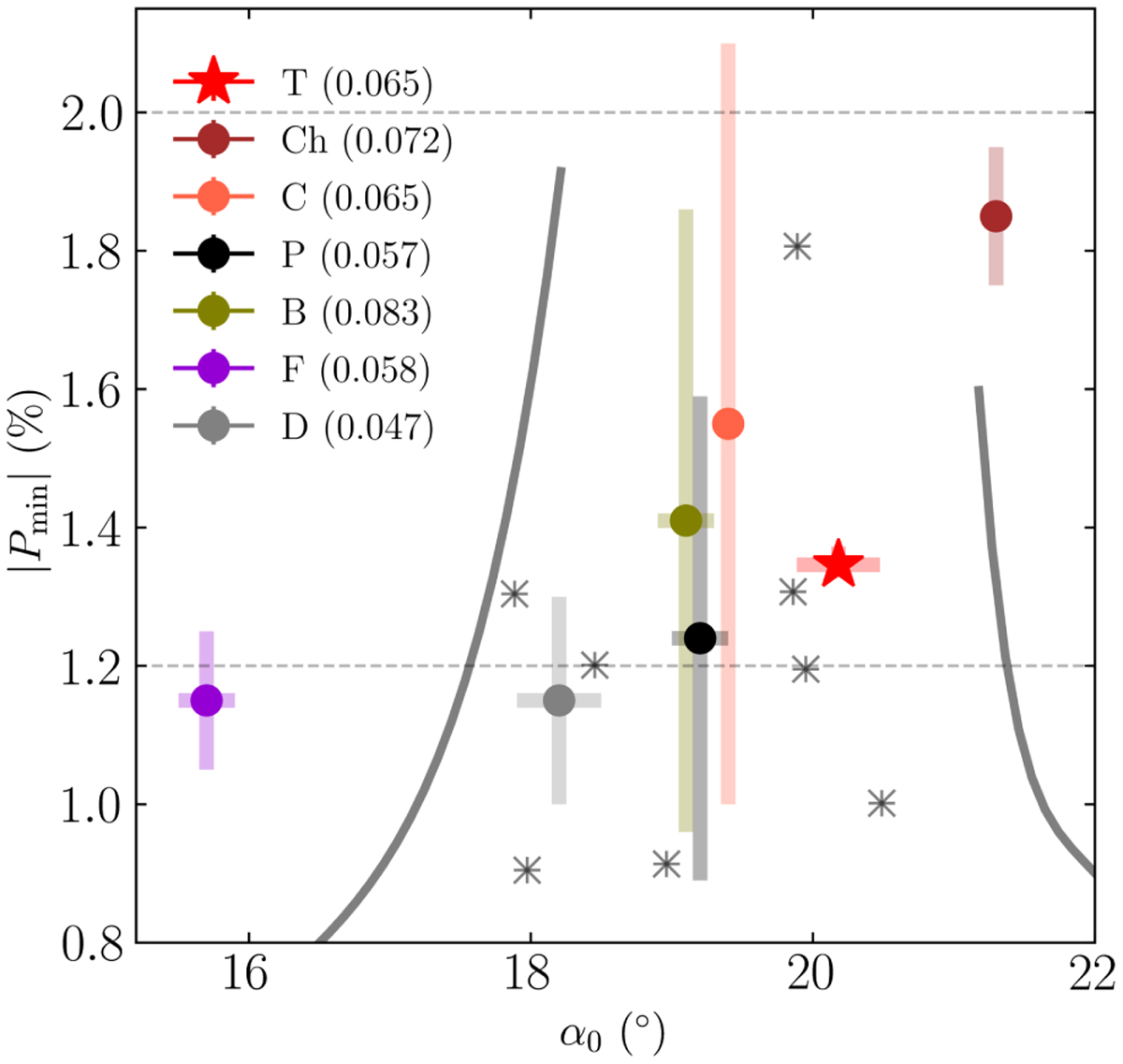
Fig. 11

image

Download original image

Polarimetric parameter plot showing the relation between the absolute value of the minimum polarisation degree ∣Pmin∣ and the inversion angle α0. Input parameters for other low-albedo asteroids are quoted from Table 3 in Belskaya et al. (2017). The upper (∣Pmin∣ = 2.0%) and lower (∣Pmin∣ = 1.2%) dashed lines encase the ∣Pmin∣ range of carbonaceous chondrites (Zellner et al. 1977). Thick solid curves indicate the boundaries of rocky-particulate surfaces (left curve) and particulate-fine-grained surfaces (right curve) derived from Geake & Dollfus (1986). Asterisks are the data for pulverised rocks and meteorites whose albedo is lower than 0.10 (Geake & Dollfus 1986). Parentheses in the legend show the average geometric albedo of the asteroids used here.

Current usage metrics show cumulative count of Article Views (full-text article views including HTML views, PDF and ePub downloads, according to the available data) and Abstracts Views on Vision4Press platform.

Data correspond to usage on the plateform after 2015. The current usage metrics is available 48-96 hours after online publication and is updated daily on week days.

Initial download of the metrics may take a while.