Open Access

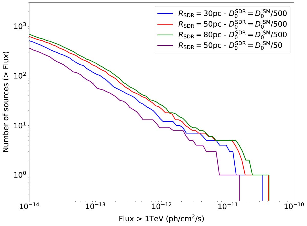
Fig. 6.

image

Download original image

Flux distribution above 1 TeV of the halo population for different suppressed diffusion region sizes of 30, 50, or 80 pc but the same diffusion suppression by a factor 500, and for a 50 pc size and diffusion suppression by a factor 50.

Current usage metrics show cumulative count of Article Views (full-text article views including HTML views, PDF and ePub downloads, according to the available data) and Abstracts Views on Vision4Press platform.

Data correspond to usage on the plateform after 2015. The current usage metrics is available 48-96 hours after online publication and is updated daily on week days.

Initial download of the metrics may take a while.