Open Access

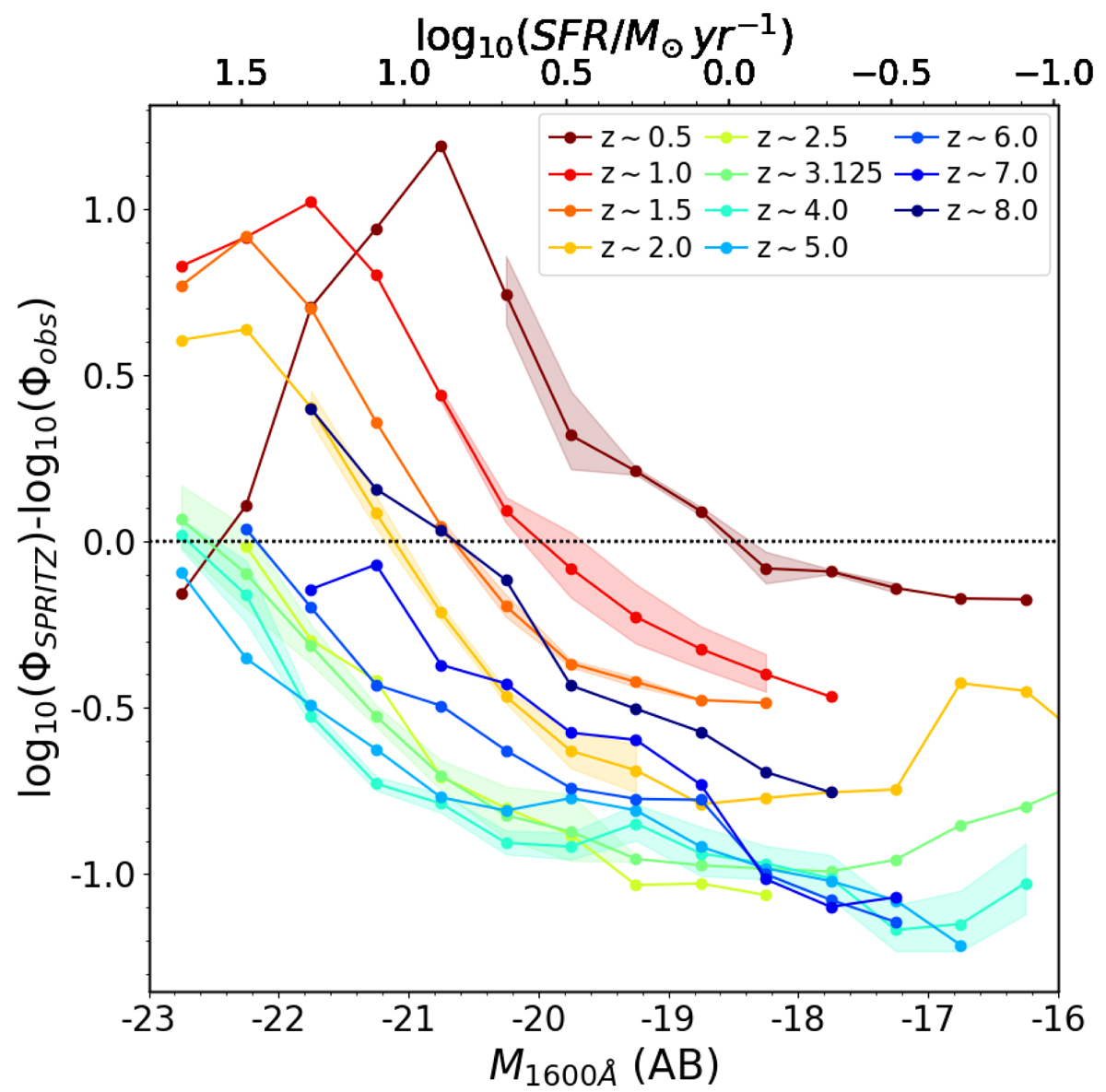
Fig. B.1.

image

Download original image

Difference between the SPRITZ and the average observed UV LFs as a function of UV magnitude (bottom axis) or UV SFR (top axis). Shaded areas show the 1σ scatter of the observed UV LFs, when multiple estimates are available. Colours indicate different redshifts.

Current usage metrics show cumulative count of Article Views (full-text article views including HTML views, PDF and ePub downloads, according to the available data) and Abstracts Views on Vision4Press platform.

Data correspond to usage on the plateform after 2015. The current usage metrics is available 48-96 hours after online publication and is updated daily on week days.

Initial download of the metrics may take a while.