Open Access

Fig. 1.

image

Download original image

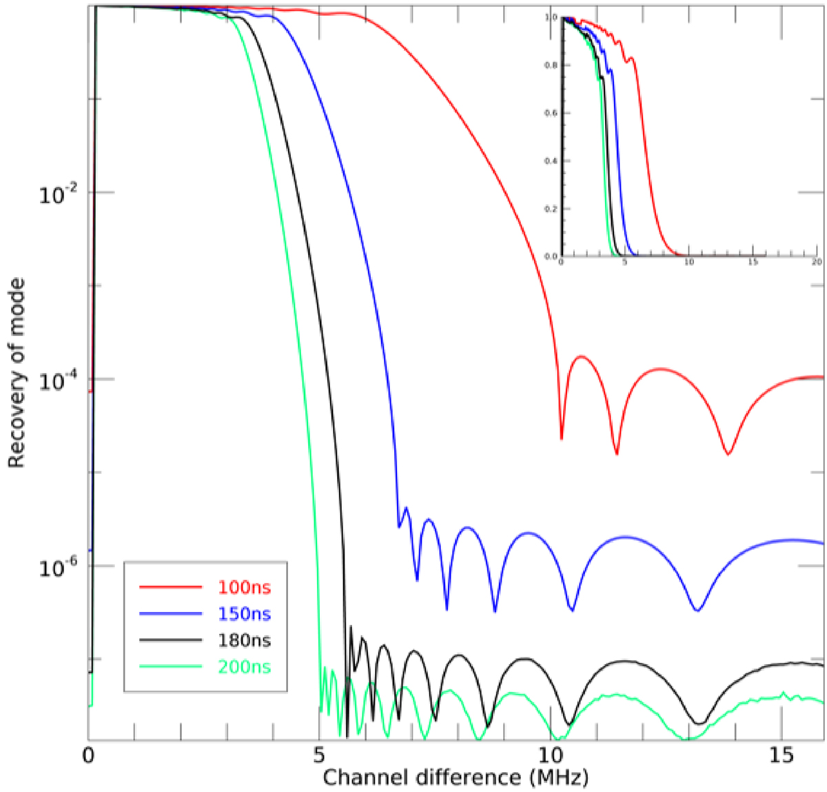
Recovery of signal power in a given spectral differencing mode after application of a foreground filter to the full-band data (30.72 MHz). Inset shows the same data with a linear scaling. A 180 ns delay filter provides sufficient recovery on scales of interest (Δν < 4 MHz), but with a small correction required.

Current usage metrics show cumulative count of Article Views (full-text article views including HTML views, PDF and ePub downloads, according to the available data) and Abstracts Views on Vision4Press platform.

Data correspond to usage on the plateform after 2015. The current usage metrics is available 48-96 hours after online publication and is updated daily on week days.

Initial download of the metrics may take a while.